Akhil Kumar

I am a Chemical Engineering undergraduate from Indian Institute of Technology (IIT) Delhi. I am an Associate Researcher in Tsankov Lab at the Icahn School of Medicine at Mount Sinai, where I leverage single-cell genomics approaches to advance precision medicine for colorectal cancer. Before this, I was a Research Fellow in Perumal Lab at the School of Biological Sciences of Indian Institute of Technology (IIT) Delhi, where I used evolutionary bioinformatics approaches to better understand host adaptation dynamics of SARS-CoV-2 and Hepatitis C virus.

Email  /  GitHub  /  Google Scholar  /  LinkedIn  /  CV

profile photo

Published Research

I'm interested in addressing biomedical problems, particularly in cancer, through functional genomics and systems biology, with an emphasis on computational method development. Selected works are highlighted.

project image

A cellular and spatial atlas of TP53-associated tissue remodeling in lung adenocarcinoma.


William Zhao*, Thinh T Nguyen*, Atharva Bhagwat*, Akhil Kumar*, Bruno Giotti*, ..., Aaron N Hata , Aviv Regev , Bruce E Johnson , Alexander M Tsankov
Nature Cancer, 2025
paper / code /

We constructed a multiomic cellular and spatial atlas of 23 treatment-naive human lung tumors to define how TP53 mutations affect the Lung Adenocarcinoma tumor microenvironment. My work involved validating trends observed in single-cell data across two independent bulk cohorts.

project image

Cancer Cell of Origin.


Mohamad D Bairakdar*, Wooseung Lee*, Bruno Giotti*, Akhil Kumar*, Paula Stancl*, Elvin Wagenblast, Dolores Hambardzumyan, Paz Polak, Rosa Karlic, Alexander M Tsankov
Nature communications, 2025
paper / code /

We combined 3,669 whole genome sequencing patient samples, 559 single-cell chromatin accessibility cellular profiles, and machine learning (ML) to predict the COO of 37 cancer subtypes with high robustness and accuracy, confirming both the known anatomical and cellular origins of numerous cancers, often at cell subset resolution. My work validated the hypothesis, generated using our ML prediction model, of an intermediate metaplastic state during tumorigenesis for multiple gastrointestinal cancers, which have important implications for cancer prevention, early detection, and treatment stratification.

project image

Improvement of diagnostic assays against emerging variants of SARS-CoV-2.


Akhil Kumar, Rishika Kaushal, Himanshi Sharma, Khushboo Sharma, Manoj B Menon, Vivekanandan Perumal
Briefings in Functional Genomics, 2023
paper / code /

We identified 11 conserved stretches in over 6.3 million SARS-CoV-2 genomes including all the major variants of concerns. Each conserved stretch is ≥100 nucleotides in length with ≥99.9% conservation at each nucleotide position. Interestingly, six of the eight conserved stretches in ORF1ab overlapped significantly with well-folded experimentally verified RNA secondary structures. Our findings highlight the role of structural constraints at both RNA and protein levels that contribute to the sequence conservation of specific genomic regions in SARS-CoV-2.

project image

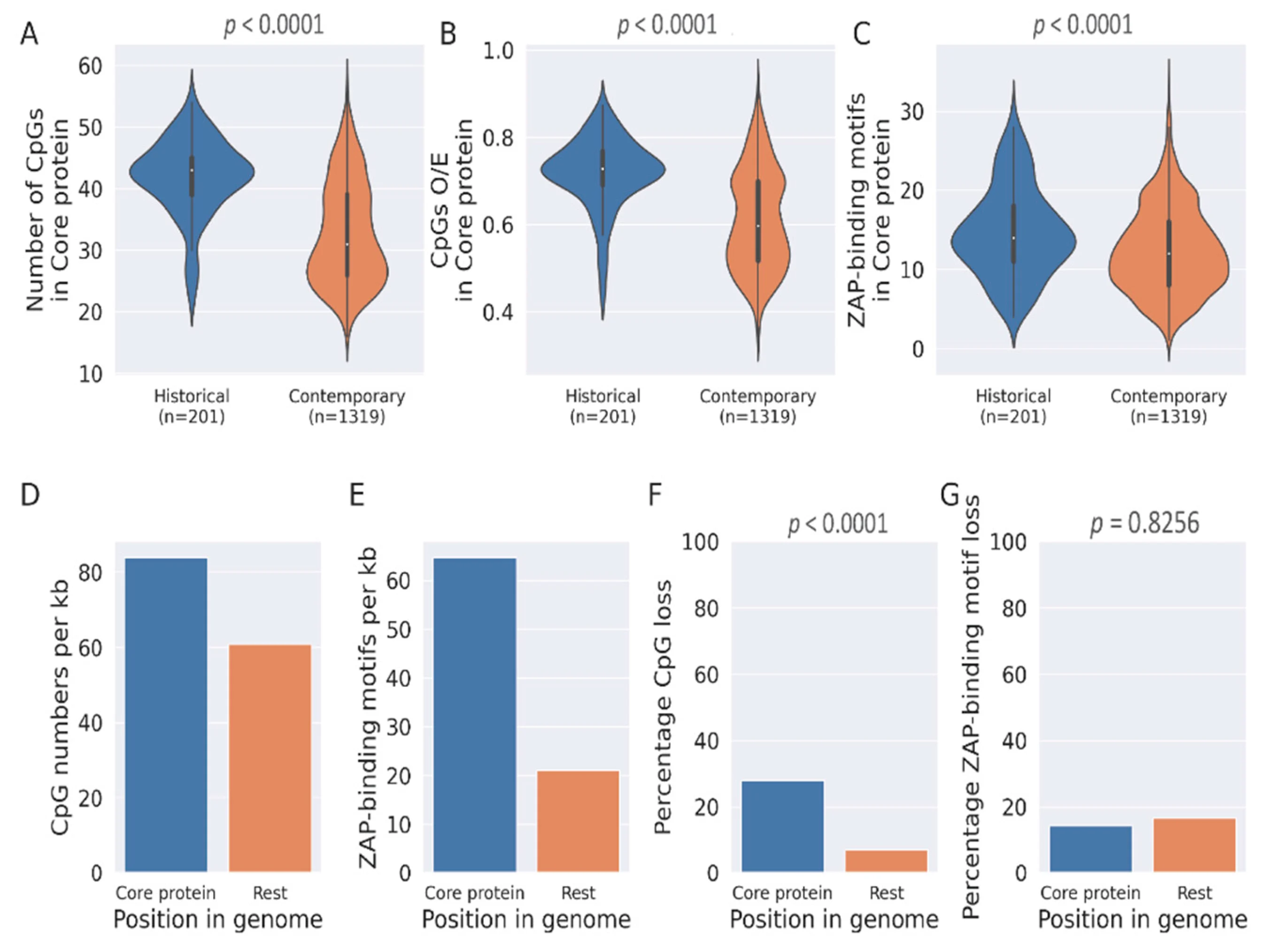
Host-adaptation dynamics in Hepatitis C virus.


Sanket Mukherjee*, Akhil Kumar*, Jasmine Samal, Ekta Gupta, Vivekanandan Perumal, Manoj B Menon
Pathogens, 2022
paper / code /

This work highlights CpG depletion in HCV genomes during their evolution in humans and the role of ZAP-mediated selection in HCV evolution.

project image

Host-adaptation dynamics in SARS-CoV-2.


Akhil Kumar*, Nishank Goyal*, Nandhini Saranathan, Sonam Dhamija, Saurabh Saraswat, Manoj B Menon, Vivekanandan Perumal
Molecular Biology and Evolution, 2022
paper / code /

This work highlights how temporal variations in selection pressures during virus adaption may impact the rate and the extent of CpG depletion in virus genomes.




Work Under Review

Recent findings currently submitted for peer review.

project image

Early mutation blitzkrieg in SARS-CoV-2.


Akhil Kumar*, Rishika Kaushal*, Manoj B Menon, Vivekanandan Perumal
Under-review, 2025
code /

Analysis of 16.7 million SARS-CoV-2 genomes to understand mutation emergence patterns during viral evolution.




Additional Research

A collection of prior projects.

project image

Temporal evolution of mono- and dinucleotides in human mitochondrial DNA


Perumal Lab, Indian Institute of Technology Delhi
Independent study
2019-11-28
slides /

Inspected temporal evolution of mono- and dinucleotides in human mtDNA by analysing sequences dated back to 50k BC. Developed boxplots for samples from earliest-, middle- and latest-period; conducted statistical tests to compare their medians. Our findings suggested that lighter strand is becoming heavier, and a slight bias toward GC-rich sequences in ancient reads.

project image

In-silico design of small ligand molecules to inhibit early-stage insulin aggregation nucleation


Multiscale Modeling Group, Indian Institute of Technology Delhi
Coursework
2019-11-24
slides /

Assisted with the in-silico design of small ligand molecules to inhibit early-stage insulin aggregation nucleation. Identified EGCG and polyoxometalates as the putative ligands through extensive literature review, programmed their structures. Performed targeted docking of EGCG into a partially folded intermediate of insulin using Gray lab’s ROSIE server.

project image

Systematic construction and validation of kinetic model from metabolic networks


Biomolecular Computational Group, Indian Institute of Science Bangalore
Summer Internship
2019-07-15
slides /

Investigated existing kinetic modelling approaches to translate metabolic networks of interest into a dynamic model. Designed a convenience kinetics based dynamic model comprising 92 reactions, 110 species using complex pathway simulator. Distributed the reactions across 4 compartments and simulated its dynamic characterstics; examined robustness of the model.

project image

Single-cell transcriptomic data analysis


Srinivas Group, University of Oxford
Summer Internship
2018-07-24
code /

Analysed single-cell transcriptomic data collected from early mouse embryo mutant carrying a mutation in ASPP-2 gene. Processed sequence data files, mapped sequence reads, performed quality control on the individual cells, normalized the data. Identified cell sub-types using an unbiased hierarchical clustering algorithm and expression values for biological marker genes.

NOTE: The code repository for this project is private, please contact me for access.




Blog

Coming soon.


Design and source code from Leonid Keselman's Jekyll fork of Jon Barron's website.